# Limitations
```{r setup, echo=FALSE}
knitr::opts_chunk$set(fig.path="ch07-figures/")
```
This chapter explains several known limitations of `animint2` for some
interactive data visualization tasks. It also explains some
workarounds that you can use in these situations. After reading this
chapter, you will understand how to
* Use a normalized variable when different `showSelected` subsets have
very different values of a variable you want to display.
* Compute statistics for each `showSelected` subset, rather than
relying on the `stat_*` functions in `ggplot2`.
* Add data one at a time to a multiple selection variable set, rather
than using a rectangular selection brush.
* Avoid using `vjust` and labels with multiple lines in `geom_text()`.
* Order the plots on the page.
* Avoid using some unsupported `theme` options.
* Use facets with multiple variables per axis.
* Use the `shiny` web server package to interactively change the
aesthetic mapping of an animint, or to perform computations based on
selected values.
If you have an idea for improving `animint2` so that it overcomes one of
these limitations, the `animint2` developers would be more than happy to
review your Pull Request [@Pull_Request].
## Use normalized variables to work with fixed scales {#normalized-variables}
We implement axes and legends in the same way `ggplot2` does, by
computing them once when the plot is first rendered. As a consequence,
the axes and legends in each animint plot are not interactive. For
most
[animated data visualizations](/ch03#animation-time),
fixed axes make it easy to understand how the data changes along with
the `time` variable.
There are some situations where it would be useful to have axes that
interactively update. One example is when different `showSelected`
subsets have very different values for variables that are shown with
an axis or legend. In this case it would be useful to have interactive
axes that update and change along with the data. We have experimental
support for this, see the update axes test for details [@update-axes-multiple-ss].
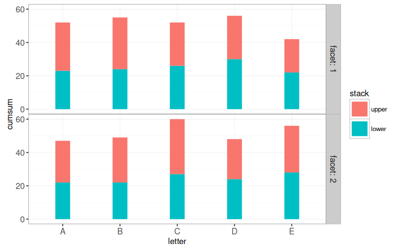
## Compute statistics for each `showSeleted` subset {#stats}
Animints do not support `ggplot2` statistics with `showSelected`. For
example, consider the facetted ggplot below.
```{r}
set.seed(1)
library(data.table)
random.counts <- data.table(
letter = c(replicate(4, LETTERS[1:5])),
count = c(replicate(4, rbinom(5, 50, 0.5))),
stack = rep(rep(factor(
c("lower","upper"), c("upper","lower")
), each = 5), 2),
facet = rep(1:2, each = 10))
library(animint2)
ggstat <- ggplot() +
theme_bw()+
theme(panel.margin=grid::unit(0, "lines"))+
geom_bar(aes(
letter, count,
key=paste(letter, stack),
fill = stack),
showSelected="facet",
data = random.counts,
stat = "identity",
position="stack"
)
ggstat+facet_grid(facet ~ ., labeller=label_both)
```
Using `showSelected` instead of facets does not result in what you
may expect.
```{r ch07-viz-stat}
animint(
plot = ggstat,
duration = list(facet = 1000))
```
**Try** changing the selection from facet 1 to 2.
The data viz above shows bars moving from top to bottom, indicating that `position=stack` has only been computed globally (not for each `showSelected` subset).
A workaround is to compute what you want to display, and use `position=identity`, which is demonstrated in the code below.
```{r}
random.cumsums <- random.counts[, data.table(
cumsum=cumsum(count),
count,
stack
), by=.(letter, facet)]
ggidentity <- ggplot() +
theme_bw()+
theme(panel.margin=grid::unit(0, "lines"))+
geom_segment(aes(
x=letter, xend=letter,
y=cumsum, yend=cumsum-count,
key=paste(letter, stack),
color=stack),
showSelected="facet",
data = random.cumsums,
size=10,
stat = "identity",
position="identity")
ggidentity+facet_grid(facet ~ ., labeller=label_both)
```
Note how we used `geom_segment()` instead of `geom_bar()`, but their appearance is similar.
```{r ch07-viz-identity}
animint(
plot = ggidentity,
duration = list(facet = 1000))
```
**Try** changing the selection from facet 1 to 2.
The data viz above shows bars adjusting their size, indicating that using `position=identity` is a valid work-around.
## Add values to a multiple selection set one at a time {#multiple-selection}
Animint does not support a rectangular brush or lasso for
interactively defining a set of selected values. Instead, animint
supports multiple selection by adding values one by one to the
multiple selection set. Use the
[selector.types](/ch04#selector-types-option) option
to declare a multiple selection variable.
## Adjust `y` instead of using `vjust` with `geom_text()` {#vjust}
For horizontal text alignment, animint supports using `hjust` in R
with the most common values: 0 for left alignment, 0.5 for middle
alignment, and 1 for right alignment. Animint translates these three
`hjust` values to the `text-anchor` property in the rendered data viz.
However, animint `geom_text()` does not support vertical text alignment using
`vjust` in R, because there is no property that can be used for
vertical text alignment in SVG.
```{r}
line.df <- data.frame(just=c(0, 0.5, 1))
text.df <- expand.grid(
vjust=line.df$just,
hjust=line.df$just)
gg.lines <- ggplot()+
theme_bw()+
geom_vline(aes(xintercept=just), data=line.df, color="grey")+
geom_hline(aes(yintercept=just), data=line.df, color="grey")
gg.vjust <- gg.lines+
geom_text(aes(
hjust, vjust, label="qwerty", hjust=hjust, vjust=vjust),
data=text.df)
gg.vjust+ggtitle("R graphics devices respect aes(vjust)")
```
Note how both `hjust` and `vjust` are respected in the static ggplot
above. In contrast, consider the animint below. The left plot should
be the same as the ggplot above, but there are clear differences in
terms of vertical placement of the text elements.
```{r ch07-viz-just}
(viz.just <- animint(
vjust=gg.vjust+
ggtitle("geom_text does not support aes(vjust)"),
workaround=gg.lines+
ggtitle("workarounds: add to y or geom_label_aligned")+
geom_text(aes(
hjust, vjust + (0.5-vjust)*0.03 - 0.01,
label="qwerty", hjust=hjust),
data=text.df)+
geom_label_aligned(aes(
hjust+0.25, vjust, label="qwerty", hjust=hjust, vjust=vjust),
data=text.df,
alignment="horizontal")))
```
The workarounds in animint are shown in the right panel above.
* Adjust the vertical position `y` values of the text elements for which you would have used `vjust`.
* Use the new `geom_label_aligned()`, which does support `vjust`. For an example, please read [Chapter 8](/ch08).
It is possible to implement `vjust` support for `geom_text()` in animint, but we haven't yet had time to work on it. If you would like to implement it, we would be more than happy to accept a Pull Request. We already have an
issue explaining how to implement it [@issue_explaining_how_to_implement_it].
## Avoid line breaks in text labels {#line-breaks}
When rendering a ggplot using regular R graphics devices, using a line
break or newline `\n` in a `geom_text()` label results in multiple lines
of text on the plot.
```{r}
gg.return <- ggplot()+
geom_text(aes(
hjust, vjust, label=sprintf("x=%.1f\ny=%.1f", hjust, vjust)),
data=text.df)
gg.return
```
However, animint only supports drawing the first line of text.
```{r ch07-viz-return}
animint(gg.return)
```
It would be nice to support multiple lines in `geom_text()` labels, but
we have not yet had time to implement that. However, we have
an issue [@an_issue], and would be
willing to accept a Pull Request which implements that.
Until then, the workaround is to use one `geom_text()` layer for each
line of text that you want to display:
```{r ch07-viz-two-lines}
gg.two.lines <- ggplot()+
geom_text(aes(
hjust, vjust, label=sprintf("x=%.1f", hjust)),
data=text.df)+
geom_text(aes(
hjust, vjust-0.05, label=sprintf("y=%.1f", vjust)),
data=text.df)
gg.two.lines
animint(gg.two.lines)
```
Also note in these examples that the text size is not consistent between static and interactive rendering, which is an issue [@is_an_issue]
* in interactive plots, we want `size` to be the number of pixels, and
* in static plots, `size` interpretation is consistent with legacy `ggplot2` interpretation of size (could be changed for consistency with interactive rendering).
## Avoid some ggplot theme options {#theme-options}
One goal of animint is to support
all of the theme options [@all_of_the_theme_options],
but we have not yet had time to implement them all. If there is a
theme option that you use and animint does not yet support, then
please send us a Pull Request. The following list documents all the
`theme` options that animint currently supports.
* `panel.margin` designates the distance between panels, and is used
in the
[space saving facets idiom](/ch99#space-saving-facets)
to eliminate the distance between panels.
* `panel.grid.major` is used to draw the the grid lines which are
designated by the `breaks` argument to the scale.
* `panel.grid.minor` is used to draw the grid lines between the major
grid lines.
* `panel.background` is used for the `<rect>` in background of each
panel.
* `panel.border` is used for the border `<rect>` of each panel (on top
of the background `<rect>`).
* `legend.position="none"` works for hiding all of the legends, but
none of the other legend positions are supported (the legends always
appear on the right of the plot).
The following theme options can be set to `element_blank` to hide the
axes.
* `axis.title`, `axis.title.x`, `axis.title.y` designate the axis title.
* `axis.ticks`, `axis.ticks.x`, `axis.ticks.y` designate teh axis ticks.
* `axis.line`, `axis.line.x`, `axis.line.y` designate the axis line.
* `axis.text`, `axis.text.x`, `axis.text.y` designate the axis tick
label text, and support the `angle` and `hjust` arguments of
`element_text`.
## Facets with multiple variables per axis {#facet-strips}
Animint supports `facet_grid` for creating multi-panel data
visualizations, but only has limited support for multiple variables
per axis. For example the ggplot below uses two variables to create
vertical facets, which results in two strip labels when rendered with
ggplot2.
```{r}
data(intreg)
signals.df <- transform(
intreg$signals,
person=sub("[.].*", "p", signal),
chromosome=sub(".*[.]", "c", signal))
two.strips <- ggplot()+
theme_animint(height=600)+
facet_grid(person + chromosome ~ ., scales="free")+
geom_point(aes(base/1e6, logratio), data=signals.df)
two.strips+ggtitle("two strip labels on the right")
```
In contrast, animint renders the same ggplot below using only one
strip label.
```{r ch07-viz-strips}
animint(two.strips+ggtitle("only one strip label"))
```
It would be nice to support multiple strip labels per axis, but we
have not yet had time to implement it. If you would like to implement
this feature, we would be happy to accept your Pull Request.
## Interactive definition of aesthetic mappings using shiny {#shiny-aes}
Normally, aesthetic mappings are defined once in R code, and can not
be changed after rendering an animint. One way to overcome this
limitation is by defining `shiny` inputs that are used as animint
aesthetics, as in the following example.
```{r, eval=FALSE}
shiny::runApp(system.file(
"examples", "shiny-WorldBank", package="animint"))
```
## Interactive computation {#shiny-computation}
Another limitation is that `animint2` can only display data that can be computed and stored in a data table before creating the visualization.
This means that `animint2` is not appropriate when there are more subsets of data to plot than you could ever compute (as in all possible selection states of a multiple selection variable).
One exception is `geom_label_aligned()`, which computes `x` or `y` positions as a function of all the currently displayed elements of the multiple selection set.
If you would like to compute something more complex based on the current multiple selection set, you may try to use `plotly` and `shiny` instead of `animint2`
## Chapter summary and exercises {#ch07-exercises}
We discussed limitations of the current implementation of `animint2`, and
explained several workarounds.
Exercises:
* Make a facetted ggplot with `stat_bin` that will not work with
animint when the facet variable is instead used as a `showSelected`
variable. Compute the stat yourself for each facet, and use
`stat_identity` to make it work with animint.
* Make a ggplot which displays fine using `facet_grid(. ~ var, scales="free")`
but does not display well in animint with `showSelected=var`.
To fix the problem, compute a normalized version of `var`
and use that for the `showSelected` variable.
Next, [Chapter 8](/ch08) explains how to create a
multi-panel visualization of the World Bank data.