7  Limitations

This chapter explains several known limitations of animint2 for some interactive data visualization tasks. It also explains some workarounds that you can use in these situations. After reading this chapter, you will understand how to

If you have an idea for improving animint2 so that it overcomes one of these limitations, the animint2 developers would be more than happy to review your Pull Request.

7.1 Use normalized variables to work with fixed scales

We implement axes and legends in the same way ggplot2 does, by computing them once when the plot is first rendered. As a consequence, the axes and legends in each animint plot are not interactive. For most animated data visualizations, fixed axes make it easy to understand how the data changes along with the time variable.

There are some situations where it would be useful to have axes that interactively update. One example is when different showSelected subsets have very different values for variables that are shown with an axis or legend. In this case it would be useful to have interactive axes that update and change along with the data. We have experimental support for this, see the update axes test for details.

7.2 Compute statistics for each showSeleted subset

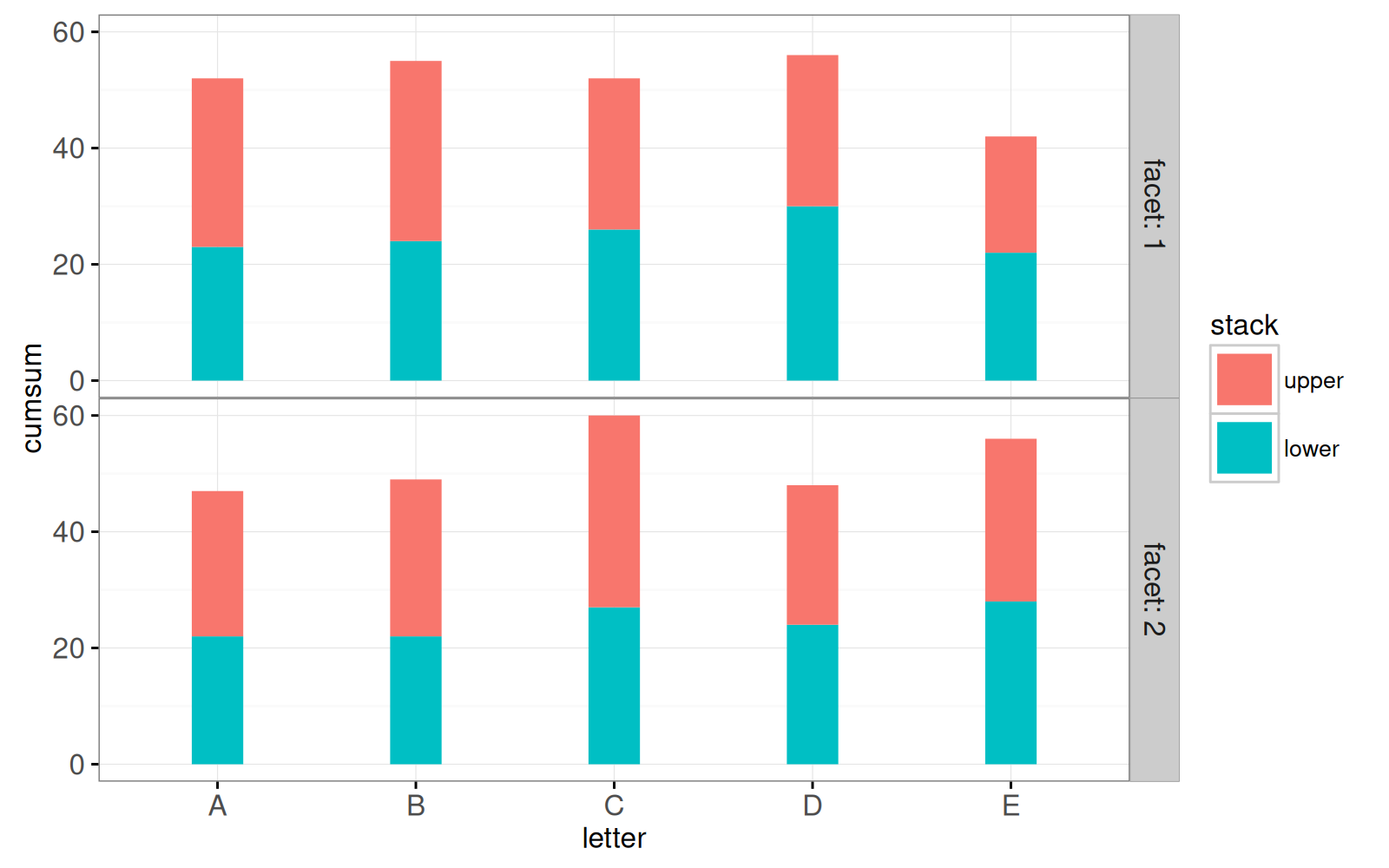
Animints do not support ggplot2 statistics with showSelected. For example, consider the facetted ggplot below.

set.seed(1)
library(data.table)
random.counts <- data.table(
  letter = c(replicate(4, LETTERS[1:5])),
  count = c(replicate(4, rbinom(5, 50, 0.5))),
  stack = rep(rep(factor(
    c("lower","upper"), c("upper","lower")
  ), each = 5), 2),
  facet = rep(1:2, each = 10))
library(animint2)
ggstat <- ggplot() +
  theme_bw()+
  theme(panel.margin=grid::unit(0, "lines"))+
  geom_bar(aes(
    letter, count,
    key=paste(letter, stack),
    fill = stack),
    showSelected="facet",
    data = random.counts,
    stat = "identity",
    position="stack"
  )
ggstat+facet_grid(facet ~ ., labeller=label_both)

Using showSelected instead of facets does not result in what you may expect.

animint(
  plot = ggstat,
  duration = list(facet = 1000))
mapping: x = letter
y = count
key = paste(letter, stack)
fill = stack
showSelected1 = facet
showSelected2 = stack 
geom_bar: width = NULL
na.rm = FALSE
stat_identity: na.rm = FALSE
position_stack 
Warning in f(...): showSelected only works with position=identity, problem:
geom1_bar_plot

Try changing the selection from facet 1 to 2. The data viz above shows bars moving from top to bottom, indicating that position=stack has only been computed globally (not for each showSelected subset).

A workaround is to compute what you want to display, and use position=identity, which is demonstrated in the code below.

random.cumsums <- random.counts[, data.table(
  cumsum=cumsum(count),
  count,
  stack
), by=.(letter, facet)]
ggidentity <- ggplot() +
  theme_bw()+
  theme(panel.margin=grid::unit(0, "lines"))+
  geom_segment(aes(
    x=letter, xend=letter,
    y=cumsum, yend=cumsum-count,
    key=paste(letter, stack),
    color=stack),
    showSelected="facet",
    data = random.cumsums,
    size=10,
    stat = "identity",
    position="identity")
ggidentity+facet_grid(facet ~ ., labeller=label_both)

Note how we used geom_segment instead of geom_bar, but their appearance is similar.

animint(
  plot = ggidentity,
  duration = list(facet = 1000))

Try changing the selection from facet 1 to 2. The data viz above shows bars adjusting their size, indicating that using position=identity is a valid work-around.

7.3 Add values to a multiple selection set one at a time

Animint does not support a rectangular brush or lasso for interactively defining a set of selected values. Instead, animint supports multiple selection by adding values one by one to the multiple selection set. Use the selector.types option to declare a multiple selection variable.

7.4 Adjust y instead of using vjust with geom_text

For horizontal text alignment, animint supports using hjust in R with the most common values: 0 for left alignment, 0.5 for middle alignment, and 1 for right alignment. Animint translates these three hjust values to the text-anchor property in the rendered data viz.

However, animint geom_text does not support vertical text alignment using vjust in R, because there is no property that can be used for vertical text alignment in SVG.

line.df <- data.frame(just=c(0, 0.5, 1))
text.df <- expand.grid(
  vjust=line.df$just,
  hjust=line.df$just)
gg.lines <- ggplot()+
  theme_bw()+
  geom_vline(aes(xintercept=just), data=line.df, color="grey")+
  geom_hline(aes(yintercept=just), data=line.df, color="grey")
gg.vjust <- gg.lines+
  geom_text(aes(
    hjust, vjust, label="qwerty", hjust=hjust, vjust=vjust),
    data=text.df)
gg.vjust+ggtitle("R graphics devices respect aes(vjust)")

Note how both hjust and vjust are respected in the static ggplot above. In contrast, consider the animint below. The left plot should be the same as the ggplot above, but there are clear differences in terms of vertical placement of the text elements.

(viz.just <- animint(
  vjust=gg.vjust+
    ggtitle("animint does not support aes(vjust)"),
  workaround=gg.lines+
    ggtitle("workaround: no aes(vjust), add to y")+
    geom_text(aes(
      hjust, vjust + (0.5-vjust)*0.03 - 0.01,
      label="qwerty", hjust=hjust),
      data=text.df)))
[1] 0.5 1.0
Warning in vjustWarning(g.data$vjust): animint only supports vjust=0

The workaround in animint is shown in the right panel above. You can adjust the vertical position y values of the text elements for which you would have used vjust.

It is possible to implement vjust support for geom_text in animint, but we haven’t yet had time to work on it. If you would like to implement it, we would be more than happy to accept a Pull Request. We already have an issue explaining how to implement it.

Another work-around is to use the new geom_label_aligned, which does support vjust. For an example, please read Chapter 8.

7.5 Order the plots on the page

Currently the only way to organize a multi-plot data viz is using the order of the ggplots in the animint viz list. The plots will appear on the web page in the same order as they occur in the animint viz list. For example, compare the data viz below with the data viz from the previous section.

animint(
  first=viz.just$workaround,
  second=viz.just$vjust)
[1] 0.5 1.0
Warning in vjustWarning(g.data$vjust): animint only supports vjust=0

Note how the order of plots is reversed with respect to the data viz from the previous section. The main limitation of this method for plot layout is that only the order can be controlled. For example, depending on the width of the web page element in which the data viz above is rendered, the second plot will appear either below the first plot, or to the right of it.

If you have an idea for a better way to define the layout of plots in an animint, please tell us!

7.6 Avoid line breaks in text labels

When rendering a ggplot using regular R graphics devices, using a line break or newline \n in a geom_text label results in multiple lines of text on the plot.

gg.return <- ggplot()+
  geom_text(aes(
    hjust, vjust, label=sprintf("x=%.1f\ny=%.1f", hjust, vjust)),
    data=text.df)
gg.return

However, animint only supports drawing the first line of text.

animint(gg.return)

It would be nice to support multiple lines in geom_text labels, but we have not yet had time to implement that. However, we have an issue, and would be willing to accept a Pull Request which implements that.

Until then, the workaround is to use one geom_text layer for each line of text that you want to display:

gg.two.lines <- ggplot()+
  geom_text(aes(
    hjust, vjust, label=sprintf("x=%.1f", hjust)),
    data=text.df)+
  geom_text(aes(
    hjust, vjust-0.05, label=sprintf("y=%.1f", vjust)),
    data=text.df)
gg.two.lines

animint(gg.two.lines)

Also note in these examples that the text size is not consistent between static and interactive rendering, which is an issue

  • in interactive plots, we want size to be the number of pixels, and
  • in static plots, size interpretation is consistent with legacy ggplot2 interpretation of size (could be changed for consistency with interactive rendering).

7.7 Avoid some ggplot theme options

One goal of animint is to support all of the theme options, but we have not yet had time to implement them all. If there is a theme option that you use and animint does not yet support, then please send us a Pull Request. The following list documents all the theme options that animint currently supports.

  • panel.margin designates the distance between panels, and is used in the space saving facets idiom to eliminate the distance between panels.
  • panel.grid.major is used to draw the the grid lines which are designated by the breaks argument to the scale.
  • panel.grid.minor is used to draw the grid lines between the major grid lines.
  • panel.background is used for the <rect> in background of each panel.
  • panel.border is used for the border <rect> of each panel (on top of the background <rect>).
  • legend.position="none" works for hiding all of the legends, but none of the other legend positions are supported (the legends always appear on the right of the plot).

The following theme options can be set to element_blank to hide the axes.

  • axis.title, axis.title.x, axis.title.y designate the axis title.
  • axis.ticks, axis.ticks.x, axis.ticks.y designate teh axis ticks.
  • axis.line, axis.line.x, axis.line.y designate the axis line.
  • axis.text, axis.text.x, axis.text.y designate the axis tick label text, and support the angle and hjust arguments of element_text.

7.8 Facets with multiple variables per axis

Animint supports facet_grid for creating multi-panel data visualizations, but only has limited support for multiple variables per axis. For example the ggplot below uses two variables to create vertical facets, which results in two strip labels when rendered with ggplot2.

data(intreg)
signals.df <- transform(
  intreg$signals,
  person=sub("[.].*", "p", signal),
  chromosome=sub(".*[.]", "c", signal))
two.strips <- ggplot()+
  theme_animint(height=600)+
  facet_grid(person + chromosome ~ ., scales="free")+
  geom_point(aes(base/1e6, logratio), data=signals.df)
two.strips+ggtitle("two strip labels on the right")

In contrast, animint renders the same ggplot below using only one strip label.

animint(two.strips+ggtitle("only one strip label"))

It would be nice to support multiple strip labels per axis, but we have not yet had time to implement it. If you would like to implement this feature, we would be happy to accept your Pull Request.

7.9 Interactive definition of aesthetic mappings using shiny

Normally, aesthetic mappings are defined once in R code, and can not be changed after rendering an animint. One way to overcome this limitation is by defining shiny inputs that are used as animint aesthetics, as in the following example.

shiny::runApp(system.file(
  "examples", "shiny-WorldBank", package="animint"))

7.10 Interactive computation

Another limitation is that animint can only display data that can be computed and stored in a data table before creating the visualization. This means that animint is not appropriate when there are more subsets of data to plot than you could ever compute. In that case, it would be better to use shiny.

7.11 Chapter summary and exercises

We discussed limitations of the current implementation of animint2, and explained several workarounds.

Exercises:

  • Make a facetted ggplot with stat_bin that will not work with animint when the facet variable is instead used as a showSelected variable. Compute the stat yourself for each facet, and use stat_identity to make it work with animint.
  • Make a ggplot which displays fine using facet_grid(. ~ var, scales="free") but does not display well in animint with showSelected=var. To fix the problem, compute a normalized version of var and use that for the showSelected variable.

Next, Chapter 8 explains how to create a multi-panel visualization of the World Bank data.