15  Newton’s root-finding method

Roots of a function f(x) are values x such that f(x)=0. Some functions f have an explicit expression for their roots. For example:

However, there are some functions which have no explicit expression for their roots. For example, the roots of the Poisson loss f(x)=a*x+b*log(x)+c have no explicit expression in terms of common mathematical functions. (actually it has a solution in terms of the Lambert W function but that function is not commonly available) This goal of this chapter is to create an interactive data visualization that explains Newton’s method for finding the roots of such functions.

Chapter outline:

15.1 Larger root in mean space

We begin by defining coefficients of a Poisson Loss function with two roots.

Linear <- 95
Log <- -1097
Constant <- 1000
loss.fun <- function(Mean){
  Linear*Mean + Log*log(Mean) + Constant
}
(mean.at.optimum <- -Log/Linear)
[1] 11.54737
(loss.at.optimum <- loss.fun(mean.at.optimum))
[1] -586.764
library(data.table)
loss.dt <- data.table(mean=seq(0, 100, l=400))
loss.dt[, loss := loss.fun(mean)]
opt.dt <- data.table(
  mean=mean.at.optimum,
  loss=loss.at.optimum,
  point="minimum")
library(animint2)
gg.loss <- ggplot()+
  geom_point(aes(mean, loss, color=point), data=opt.dt)+
  geom_line(aes(mean, loss), data=loss.dt)
print(gg.loss)

Our goal is to find the two roots of this function. Newton’s root finding method starts from an arbitrary candidate root, and then repeatedly uses linear approximations to find more accurate candidate roots. To compute the linear approximation, we need the derivative:

loss.deriv <- function(Mean){
  Linear + Log/Mean
}

We begin the root finding at a point larger than the minimum,

possible.root <- mean.at.optimum+1
gg.loss+
  geom_point(aes(
    mean, loss, color=point),
    data=data.table(
      point="start",
      mean=possible.root,
      loss=loss.fun(possible.root)))

We then use the following implementation of Newton’s method to find a root,

iteration <- 1
solution.list <- list()
thresh.dt <- data.table(thresh=1e-6)
while(thresh.dt$thresh < abs({
  fun.value <- loss.fun(possible.root)
})){
  cat(sprintf("mean=%e loss=%e\n", possible.root, fun.value))
  deriv.value <- loss.deriv(possible.root)
  new.root <- possible.root - fun.value/deriv.value
  solution.list[[iteration]] <- data.table(
    iteration, possible.root, fun.value, deriv.value, new.root)
  iteration <- iteration+1
  possible.root <- new.root
}
mean=1.254737e+01 loss=-5.828735e+02
mean=8.953188e+01 loss=4.574958e+03
mean=3.424363e+01 loss=3.768946e+02
mean=2.825783e+01 loss=1.901051e+01
mean=2.791944e+01 loss=7.929111e-02
mean=2.791802e+01 loss=1.425562e-06
root.dt <- data.table(point="root", possible.root, fun.value)
gg.loss+
  geom_point(aes(possible.root, fun.value, color=point),
             data=root.dt)

The plot above shows the root that was found. The stopping criterion was an absolute cost value less than 1e-6 so we know that this root is at least that accurate. The following plot shows the accuracy of the root as a function of the number of iterations.

solution <- do.call(rbind, solution.list)
solution$new.value <- c(solution$fun.value[-1], fun.value)
gg.it <- ggplot()+
  geom_point(aes(
    iteration, fun.value, color=fun),
    data=data.table(solution, y="fun.value", fun="function"))+
  geom_point(aes(
    iteration, log10(abs(fun.value)), color=fun),
    data=data.table(
      solution, y="log10(abs(fun.value))", fun="function"))+
  scale_color_manual(values=c("function"="black", approximation="red"))+
  geom_point(aes(
    iteration, new.value, color=fun),
    data=data.table(solution, y="fun.value", fun="approximation"))+
  geom_point(aes(
    iteration, log10(abs(new.value)), color=fun),
    data=data.table(
      solution, y="log10(abs(fun.value))", fun="approximation"))+
  theme_bw()+
  theme(panel.margin=grid::unit(0, "lines"))+
  facet_grid(y ~ ., scales="free")+
  ylab("")
print(gg.it)

The plot above shows a horizontal line for the stopping criterion threshold, on the log scale. It is clear that the red dot in the last iteration is much below that threshold.

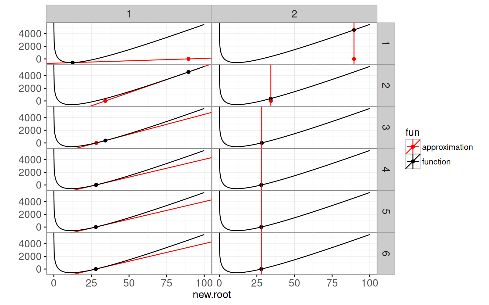
The plot below shows each step of the algorithm. The left panels show the linear approximation at the candidate root, along with the root of the linear approximation. The right panels show the root of the linear approximation, along with the corresponding function value (the new candidate root).

## y - fun.value = deriv.value * (x - possible.root)
## y = deriv.value*x + fun.value-possible.root*deriv.value
ggplot()+
  theme_bw()+
  theme(panel.margin=grid::unit(0, "lines"))+
  facet_grid(iteration ~ step)+
  scale_color_manual(values=c("function"="black", approximation="red"))+
  geom_abline(aes(
    slope=deriv.value, intercept=fun.value-possible.root*deriv.value,
    color=fun),
    data=data.table(solution, fun="approximation", step=1))+
  geom_point(aes(
    new.root, 0, color=fun),
    data=data.table(solution, fun="approximation"))+
  geom_point(aes(
    new.root, new.value, color=fun),
    data=data.table(solution, fun="function", step=2))+
  geom_vline(aes(
    xintercept=new.root, color=fun),
    data=data.table(solution, fun="approximation", step=2))+
  geom_point(aes(
    possible.root, fun.value, color=fun),
    data=data.table(solution, fun="function", step=1))+
  geom_line(aes(
    mean, loss, color=fun),
    data=data.table(loss.dt, fun="function"))+
  ylab("")

It is clear that the algorithm quickly converges to the root. The following is an animated interactive version of the same data viz.

animint(
  time=list(variable="iteration", ms=2000),
  iterations=gg.it+
    theme_animint(width=300, colspan=1)+
    geom_tallrect(aes(
      xmin=iteration-0.5,
      xmax=iteration+0.5),
      clickSelects="iteration",
      alpha=0.5,
      data=solution),
  loss=ggplot()+
    theme_bw()+
    scale_color_manual(values=c(
      "function"="black",
      approximation="red"))+
    geom_abline(aes(
      slope=deriv.value, intercept=fun.value-possible.root*deriv.value,
      color=fun),
      showSelected="iteration",
      data=data.table(solution, fun="approximation"))+
    geom_point(aes(
      new.root, 0, color=fun),
      showSelected="iteration",
      size=4,
      data=data.table(solution, fun="approximation"))+
    geom_point(aes(
      new.root, new.value, color=fun),
      showSelected="iteration",
      data=data.table(solution, fun="function"))+
    geom_vline(aes(
      xintercept=new.root, color=fun),
      showSelected="iteration",
      data=data.table(solution, fun="approximation"))+
    geom_point(aes(
      possible.root, fun.value, color=fun),
      showSelected="iteration",
      data=data.table(solution, fun="function"))+
    geom_line(aes(
      mean, loss, color=fun),
      data=data.table(loss.dt, fun="function"))+
    ylab(""))

15.2 Comparison with Lambert W solution

The code below uses the Lambert W function to compute a root, and compares its solution to the one we computed using Newton’s method.

inside <- Linear*exp(-Constant/Log)/Log
root.vec <- Log/Linear*c(
  LambertW::W(inside, 0),
  LambertW::W(inside, -1))
Registered S3 methods overwritten by 'ggplot2':
  method                   from    
  drawDetails.zeroGrob     animint2
  grobHeight.absoluteGrob  animint2
  grobHeight.zeroGrob      animint2
  grobWidth.absoluteGrob   animint2
  grobWidth.zeroGrob       animint2
  grobX.absoluteGrob       animint2
  grobY.absoluteGrob       animint2
  heightDetails.titleGrob  animint2
  heightDetails.zeroGrob   animint2
  makeContext.dotstackGrob animint2
  print.ggplot2_bins       animint2
  print.rel                animint2
  widthDetails.titleGrob   animint2
  widthDetails.zeroGrob    animint2
loss.fun(c(
  Newton=root.dt$possible.root,
  Lambert=root.vec[2]))
       Newton       Lambert 
-4.547474e-13  0.000000e+00 

For these data, the Lambert W function yields a root which is slightly more accurate than our implementation of Newton’s method.

15.3 Root-finding in the log space

The previous section showed an algorithm for finding the root which is larger than the minimum. In this section we explore an algorithm for finding the other root (smaller than the minimum). Note that the Poisson loss is highly non-linear as mean goes to zero, so the linear approximation in the Newton root finding will not work very well. Instead, we equivalently perform root finding in the log space:

log.loss.fun <- function(log.mean){
  Linear*exp(log.mean) + Log*log.mean + Constant
}
log.loss.dt <- data.table(
  log.mean=seq(-1, 3, l=400)
)[
, loss := log.loss.fun(log.mean)]
ggplot()+
  geom_line(aes(
    log.mean, loss),
    data=log.loss.dt)+
  geom_point(aes(
    log(mean), loss, color=point),
    data=opt.dt)

Exercise: derive and implement the Newton method for this function, in order to find the root that is smaller than the minimum. Create an animint similar to the previous section.

15.4 Chapter summary and exercises

In this chapter we explored several visualizations of the Newton method for finding roots of smooth functions.

Exercises:

  • Add a title to each plot.
  • Add a size legend to the first plot (black points larger than red), so that we can see when red and black have the same value.
  • Add a geom_hline to emphasize the loss=0 value in the second plot.
  • Add a geom_hline to emphasize the stopping threshold in the first plot.
  • Turn off one of the two legends, to save space.
  • How to specify smooth transitions between iterations?
  • Instead of using iteration as the animation/time variable, create a new one in order to show two distinct states/steps for each iteration, i.e. the step variable in the facetted plot above.
  • What happens to the rate of convergence when you try to find the larger root in the log space, or the smaller root in the original space? Theoretically it should not converge as fast, since the functions are more nonlinear for those roots. Make a data visualization that allows you to select the starting value, and shows how many iterations it takes to converge to within the threshold.
  • Create another plot that allows you to select the threshold. Plot the number of iterations as a function of threshold.
  • Derive the loss function for Binomial regression, and visualize the corresponding Newton root finding method.
  • Refactor gg.it code to use only one geom_point, instead of the four geoms in the current code. Hint: use rbind() to create a single table with all of the data.

Next, Chapter 16 explains how to visualize change-point detection models.